中文 English 网站地图 百度蜘蛛 在线留言

杭州茄子视频免费观看除湿设备有限公司

logo

湿度问题系统化解决方案的营运商 专业的转轮除湿机生产厂家,专注于工业除湿设备生产!

0571-88532337

21年

转轮除湿机湿度单位%RH是什么意思

返回列表 来源: 茄子视频免费观看泰除湿 发布日期: 2019.07.19

总所周知,转轮除湿机是一种用来解决潮湿问题的专业设备,通常用于制药、锂电、食品等工艺储存中防潮除湿,降低环境中过湿的水分确保工艺过程的安全生产。

转轮除湿机的除湿效果表达是使用湿度单位RH,转轮除湿机湿度单位%RH是什么意思?RH就是相对湿度,是用露点温度来定义的。今天茄子视频免费观看来了解一下湿度中的绝对湿度、相对湿度及其计算公式。

湿度的名词解释:

在计量法中规定,湿度定义为“物象状态的量”。日常生活中所指的湿度为相对湿度,%RH表示。总而言之,即气体中(通常为空气中)所含水蒸气量(水蒸气压)与其空气相同情况下饱和水蒸气量(饱和水蒸气压)的百分比。

绝对湿度

绝对湿度是指一定体积的空气中含有的水蒸气的质量,一般其单位是克/立方米。绝对湿度的最大限度是饱和状态下的最高湿度。绝对湿度只有与温度一起才有意义,因为空气中能够含有的湿度的量随温度而变化,在不同的温度中绝对湿度也不同,因为随着温度的变化空气的体积也要发生变化。但绝对湿度越靠近最高湿度,它随温度的变化就越小。

计算绝对湿度的公式:

1

其中的符号分别是:

e–蒸汽压,单位是帕斯卡(Pa)

–水的气体常数=461.52J/(kg K)T–温度,单位是开尔文(K)

m–在空气中溶解的水的质量,单位是千克(kg)

V–空气的体积,单位是立方米(m)。

相对湿度(RH)

一台湿度计正在记录相对湿度相对湿度是绝对湿度与最高湿度之间的比,它的值显示水蒸气的饱和度有多高。相对湿度为100%的空气是饱和的空气。相对湿度是50%的空气含有达到同温度的空气的饱和点的一半的水蒸气。相对湿度超过100%的空气中的水蒸气一般凝结出来。随着温度的增高空气中可以含的水就越多,也就是说,在同样多的水蒸气的情况下温度升高相对湿度就会降低。因此在提供相对湿度的同时也必须提供温度的数据。通过相对湿度和温度也可以计算出露点。

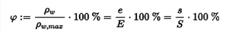
以下是计算相对湿度的公式:

相对湿度计算公式

其中的符号分别是:

ρw –绝对湿度,单位是克/立方米

ρw,max –最高湿度,单位是克/立方米

e –水汽压,单位是帕斯卡

E –饱和水汽压,单位是帕斯卡

s –比湿,单位是克/千克

S –最高比湿,单位是克/千克

杭州茄子视频免费观看除湿设备有限公司技术人员占总人数的30%,主要开发制造、销售和管理人员均具有数十年从事除湿设备产业的经验,曾负责过由国家立项的除湿机研制项目,并通过鉴定;曾获得过国内的除湿机研制项目省部级科技进步奖,并被评为国家级新产品;有多项 除湿机国家专利,曾负责过多项国内外大型工程,并获得用户好评。

咨询热线

0571-88532337

杭州茄子视频免费观看除湿设备是一家专业的转轮除湿机生产厂家,专注工业除湿设备生产领域服务!

  • 杭州茄子视频免费观看除湿设备有限公司 版权所有  备案号:浙IPC备09015514号-1    百度统计
  • 客户热线:0571-88532337 88532339 18858152776
  • 技术咨询:0571-88532528 18858155308 传真:0571-88532038
  • 邮箱:peritek@jfhhs.com
  • QQ:200816924
  • 网址:www.jfhhs.com
  • 地址:杭州市余杭区瓶窑镇凤都工业园凤城路9-2号
  • 深圳办事处:深圳市龙华新区大浪华荣路  联系人:王凯 电话:18858152787
  • 沈阳办事处:沈阳市沈河区北站路146号嘉兴国际大厦2024室  联系人:胡成华 电话:15998811685

扫一扫二维码

  • 杭州茄子视频免费观看除湿  
网站地图